1 Code of Ethics and Business Conduct For Gladstone Capital Corporation Gladstone Commercial Corporation Gladstone Investment Corporation Gladstone Land Corporation Gladstone Management Corporation Gladstone Administration LLC Gladstone Securities, LLC and their subsidiaries (UPDATED NOVEMBER 2, 2023) I. Core Values: This Code of Ethics and Business Conduct (hereafter referred to as the “Code”) reflects our commitment to our Core Values, our Valued Relationships and to the Standards of Ethics and Business Conduct that support these values and relationships. We expect every employee, officer and director to read and understand this Code and its application to the performance of his or her business responsibilities. We are committed to the highest standards of ethical and professional conduct in all of our business operations, as well as in our interactions with customers, business partners and employees. The following are the values we hold in highest esteem…the values that we propose to use as our guide in our quest for excellence and success. To assist and encourage you to apply our Core Values in your day-to-day activities, each Core Value includes amplifying and implementing guidance. A. Golden Rule and Respect a. Following the Golden Rule means we will strive to always do the right thing...the thing we would want others to do to us. b. Treating others the way we would like to be treated is our foundational value and the golden rule is a good summary of our other core values. c. Respect means we respect the rights, opinions and beliefs of others so long as they are consistent with our other core values. Amplifying and implementing guidance: - Be a good listener, encourage diverse opinions and be willing to accept them. - Recognize the achievement of others. - Don’t prejudge another person’s qualities or intentions.


 
2 - Respect confidences. - Recognize each individual’s human dignity and value. B. Honesty and Openness a. Honesty means we refuse to lie, cheat, steal or deceive in any way. b. We will never deliberately mislead, or misrepresent the truth. c. We will always to do the legal and fair thing, fulfilling the intent of our commitments and the law. d. Openness means we will be free, forthright and sincere in our discussions, as candid as possible, and will openly share appropriate information in each relationship. Amplifying and implementing guidance: - Be forthright and never use information as a source of power. - Strive for clarity: avoid “slippery” words. - Focus on issues, not personalities. - Carry no hidden agendas. - Be willing to admit your own mistakes and be tolerant of other’s mistakes. C. Integrity a. Integrity means we will refuse to be corrupted or unfaithful to our values. b. We will do what we say we will do, and we will conduct ourselves in accordance with our values and our code of ethics. c. We will always try to do the right thing. d. We will operate within both the letter and the spirit of the law. Amplifying and implementing guidance: - Act and speak ethically. - What you do when no one is looking should agree with your professed ethics. D. Teamwork and Innovation a. Teamwork means working together to achieve our goals and values as a group and not working at cross purposes. b. Innovation means encouraging each other to seek new ways of doing our business to improve our quality and efficiency. Amplifying and implementing guidance: - Acknowledge all co-workers as valuable team members. - Show confidence in the character and truthfulness of others. - Practice solidarity by respecting and supporting team decisions. - Encourage initiative and participation. - Be accountable to the team. - Lead by example. - Recognize that taking and accepting reasonable risks is necessary business conduct. E. Responsibility a. Responsibility means we are morally and legally accountable for our actions.


 
3 b. We are determined to do the right thing, and to be good stewards of the things that have been entrusted into our care. Amplifying and implementing guidance: - Accept responsibility for your own mistakes, and give credit to others for their accomplishments. - Keep commitments. F. Loyalty and Hard work a. We will be loyal to our Company and protect its assets and trade secrets. We will be faithful in carrying out our duties. b. We will always work hard and do our best. Amplifying and implementing guidance: - Demand excellence from yourself, and seek and encourage it from others. - Demonstrate a sense of urgency in all that you do. - Our success is directly related to our loyalty to each other and to our company. Always remember that at our companies, your ethical behavior is the ultimate “bottom line”. We are committed to do what is right even when it does not seem to be profitable, expedient or conventional. We are committed to following the above core values in everything we do… that means we will be truthful, ethical, law-abiding, and respectful in all of our dealings with others. II. Our Valued Relationships We will deal fairly and honestly in all of our relationships, treating all our business associates as long-term valued partners. We will operate our business based on the practical application of the Golden Rule, our other values, and all other provisions of our Code of Ethics and Business Conduct, for the mutual benefit of all our valued relationships. We will strive to be dependable and respectable in all our dealings with our business associates and our employees, value each shareholder and lender to our company, and we will be faithful stewards of their funds. We are committed to providing a work environment where there is no conflict between work and moral or ethical values, or family responsibilities, and where everyone is treated justly and with respect. We have certain relationships that we hold dear and they are: • Customers and clients are the reason we are in business. We seek to help our customers and clients to achieve their goals. We know that if we help them reach their goals, they will help us reach our goals too. • Employees are the full extent of our company. We are no greater than our employees. Each employee is an integral part of our team. We seek to have the best employees and the best organization to support the growth of each employee.


 
4 • Shareholders have entrusted us with their assets. We seek to increase the value of those assets. As trustees we will do our best to protect and grow the assets that have been entrusted to us. • Suppliers provide us with the things we need to achieve our goals. They have the goods and services we need to grow our business. We will treat each supplier as a valued partner in the growth of our business. • Our government is part of our operations. We seek to fulfill the regulatory aspects of our business operations in a timely and accurate manner. • Our relationship with God is one that is valued highest. We will do our best to perform in a way that will be pleasing to God. III. Code of Ethics Implementing Guidance and Procedures As with any written guidance, this Code of Ethics may not clearly address every situation you may encounter. If concerns or questions that you have about a course of action are not addressed specifically by this Code, you should ask yourself the following six questions to begin your evaluation process: Ethics “Quick Test” 1. Is it legal? 2. Would doing it make me feel bad or ashamed in any way? 3. Is it consistent with our Core Values? 4. Would I want my family or friends to read about it in the newspaper? 5. Would failing to act make the situation worse or allow a “wrong” to continue? 6. Does it follow the Golden Rule set out above? If you still have questions or concerns, do not act until your questions and concerns have been raised and resolved. Our employee handbook, your supervisor, our Chief Compliance Officer (“CCO”) and staff (the “Compliance Officers”) or the Ethics Committee are all available to help you. Additionally, if you are not comfortable addressing potential violations of this Code with any of these persons directly, you may also raise your concerns by anonymously contacting Global Compliance Services (See Part V, Section 15 of this Code for contact and other information regarding the compliance resources available to you). If you are aware of a suspected or actual violation of Code standards by others, you have a responsibility to report it. You are expected to promptly notify a Compliance Officer or contact another compliance reporting resource to provide a specific description of the violation that you believe has occurred, including any information you have about the persons involved and the time of the violation. Whether you choose to speak with your supervisor or one of the Compliance


 
5 Officers, you should do so without fear of any form of retaliation. We will take prompt disciplinary action against any employee who retaliates against you. Supervisors must promptly report any complaints or observations of Code violations to the CCO. If you believe your supervisor has not taken appropriate action, you should contact one of our Compliance Officers directly. The Compliance Officers will investigate all reported possible Code violations promptly and with the highest degree of confidentiality that is possible under the specific circumstances. Neither you nor your supervisor may conduct any preliminary investigation, unless authorized to do so by the CCO. Your cooperation in the investigation will be expected. As needed, the CCO will consult with the Ethics Committee and the Audit Committee of the Board of Directors. It is our policy to employ a fair process by which to determine violations of this Code. With respect to any complaints or observations of Code violations that may involve accounting, internal accounting controls and auditing concerns, the CCO shall promptly inform the chair of the Ethics Committee, who will then turn over such information to the Audit Committee or such other persons as the Audit Committee of the Board of Directors determines to be appropriate under the circumstances shall be responsible for supervising and overseeing the inquiry and any investigation that is undertaken. If any investigation indicates that a potential violation of this Code has occurred, we will take such action as we believe to be appropriate under the circumstances. Violations of this Code will not be tolerated. Any employee who violates this Code may be subject to disciplinary action, which, depending on the nature of the violation and the history of the employee, may range from a warning or reprimand to and including termination of employment and, in appropriate cases, civil legal action or referral for regulatory enforcement action. Appropriate action may also be taken to deter any future Code violations. IV. Code of Ethics References in this Code to employees are intended to cover all employees including officers and, as applicable, directors. References to “our companies” mean all the affiliated companies in the Gladstone group of companies, including Gladstone Capital Corporation (“Gladstone Capital”), Gladstone Commercial Corporation (“Gladstone Commercial”), Gladstone Investment Corporation (“Gladstone Investment”), Gladstone Land Corporation (“Gladstone Land”), Gladstone Management Corporation (the “Adviser”), Gladstone Administration LLC (the “Administrator”), Gladstone Securities, LLC (“Gladstone Securities”) and their subsidiaries. References to Gladstone Capital, Gladstone Commercial, Gladstone Investment, Gladstone Land, the Adviser, and the Administrator shall include all subsidiaries of those companies. References to the Board of Directors mean the Boards of Directors of all of the affiliated companies in the Gladstone group of companies, as applicable. References to the Ethics Committee mean the Ethics, Nominating and Corporate Governance Committees of Gladstone Capital, Gladstone Commercial, Gladstone Land or Gladstone Investment, as applicable.


 
6 Officers, managers and other supervisors are expected to develop in employees a sense of commitment not only to the letter, but to the spirit of this Code. Supervisors are also expected to ensure that all agents and contractors conform to this Code’s standards when working for or on behalf of our companies. The environment regarding compliance with this Code within each supervisor’s assigned area of responsibility will be a significant factor in evaluating the quality of that individual’s performance. In addition, any employee who makes an exemplary effort to implement and uphold our Core Values, Valued Relationships and Standards of Business Conduct and Ethics will be recognized for that effort in his or her performance review. Nothing in this Code alters the at-will employment policy of our companies. The Code addresses conduct that is particularly important to proper dealings with the people and entities with which we interact, but may not address every aspect of our commitment to honest and ethical conduct. From time to time we may adopt additional policies and procedures with which our employees, officers and directors are expected to comply, if applicable to them. However, it is the responsibility of each employee to apply common sense, together with his or her own highest personal ethical standards, in making business decisions where there is no stated guideline in this Code. Action by members of your immediate family or other persons who live in your household also may potentially result in ethical issues to the extent that they involve our companies’ business. For example, acceptance of inappropriate gifts by a family member from one of our suppliers or portfolio companies could create a conflict of interest and result in a Code violation attributable to you. Consequently, in complying with this Code, you should consider not only your own conduct, but also that of your immediate family members and other persons who live in your household. PLEASE NOTE THAT YOU WILL BE ASKED TO CERTIFY COMPLIANCE WITH THIS CODE ON AN ANNUAL BASIS. THUS, YOU SHOULD NOT HESITATE TO ASK QUESTIONS, VOICE CONCERNS OR CLARIFY GRAY AREAS ABOUT WHETHER ANY CONDUCT MAY VIOLATE THIS CODE. THE APPENDICES CONTAIN RESOURCES AVAILABLE TO YOU TO DETERMINE COMPLIANCE WITH THIS CODE. IN ADDITION, YOU ARE RESPONSIBLE FOR REPORTING SUSPECTED OR ACTUAL VIOLATIONS OF THIS CODE BY OTHERS. YOU SHOULD BE ALERT TO POSSIBLE VIOLATIONS OF THIS CODE BY OTHERS, AND MUST REPORT SUSPECTED VIOLATIONS, WITHOUT FEAR OF ANY FORM OF RETALIATION, AS FURTHER DESCRIBED IN PART V, SECTION 15 OF THIS CODE. V. Standards of Ethics and Business Conduct Underlying our Core Values, described in Part I above, is our commitment to maintain the highest standards of ethics and business conduct. 1. Honest and Ethical Conduct It is the policy of our companies to promote high standards of integrity by conducting our affairs in an honest and ethical manner. The integrity and reputation of our companies depends on


 
7 the honesty, fairness and integrity brought to the job by each person associated with us. Unyielding personal integrity is the foundation of corporate integrity. 2. Legal Compliance Obeying the law, both in letter and in spirit, is the foundation of this Code. Our success depends upon each employee’s operating within legal guidelines and cooperating with local, national and international authorities. We expect employees to understand the legal and regulatory requirements applicable to their business units and areas of responsibility. We hold periodic training sessions to ensure that all employees comply with this Code, the compliance policies and procedures of our companies, and other relevant laws, rules and regulations associated with their employment. While we do not expect you to know every detail of these laws, rules and regulations, we expect you to be familiar with this Code and our compliance policies and procedures, so that you are able to determine when to seek advice from others. If you do have a question in the area of legal compliance, it is important that you not hesitate to seek answers from your supervisor or one of the Compliance Officers (see Section 15 of this Part IV below for more information about the Compliance Officers). Disregard of the law will not be tolerated. Violation of domestic or foreign laws, rules and regulations may subject an individual, as well as our companies, to civil or criminal penalties. You should be aware that conduct and records, including emails, are subject to internal and external audits and to discovery by third parties in the event of a government investigation or civil litigation. It is in everyone’s best interest to know and comply with our legal obligations. 3. Insider Trading Employees who have access to confidential (or “inside”) information are not permitted to use or share that information for stock trading purposes or for any other purpose except to conduct our business. All non-public information about our companies or about companies with which we do business is considered confidential information. To use material non-public information in connection with buying or selling securities, including “tipping” others who might make an investment decision on the basis of this information, is not only unethical, it is illegal. You must exercise the utmost care when handling material inside information. The Company’s Insider Trading Policy (the “Trading Policy”), which is attached to this Code as Appendix A and is incorporated by reference into this Code, has been instituted to help you avoid prohibited insider trading, and to ensure that our companies comply with the separate requirements of Rules 17j-1 of the Investment Company Act of 1940 and 204A of the Investment Advisers’ Act of 1940. All employees are expected to understand and comply with all Trading Policy provisions applicable to them. The Trading Policy addresses detailed legal provisions of the Act and imposes requirements, and in some cases, restrictions, on certain securities trades that you may wish to make. The Trading Policy contains provisions that require you to obtain pre-clearance for all investments in any initial public offering, and for securities trades for which you may have insider information, especially the Gladstone Funds. To request pre-clearance of a securities transaction,


 
8 you should complete Schedule A (for limited offering transactions) or schedule B (for transactions involving Gladstone Funds) of the attached Appendix A and forward it to our CCO. The Trading Policy also requires all employees to provide certain reports of their holdings or transactions in certain securities. The particular reports you will be required to provide are described more fully in the Trading Policy. If you have questions regarding the requirements or compliance procedures under the Trading Policy, or if you don’t know whether your situation requires pre-clearance or reporting, you should contact one of our Compliance Officers. 4. International Business Laws You are expected to comply with the applicable laws in all countries to which you travel, in which we operate and where we otherwise do business, including laws prohibiting bribery, corruption or the conduct of business with specified individuals, companies or countries. The fact that, in some countries, certain laws are not enforced or that violation of those laws is not subject to public criticism will not be accepted as an excuse for noncompliance. In addition, we expect you to comply with U.S. laws, rules and regulations governing the conduct of business by its citizens and corporations outside the U.S. If you have a question as to whether an activity is restricted or prohibited, seek assistance before taking any action, including giving any verbal assurances that might be regulated by international laws. 5. Environmental Compliance It is our policy to conduct our business in an environmentally responsible way that minimizes environmental impacts. We are committed to minimizing and, if practicable, eliminating the use of any substance or material that may cause environmental damage, reducing waste generation and disposing of all waste through safe and responsible methods, minimizing environmental risks by employing safe technologies and operating procedures, and being prepared to respond appropriately to accidents and emergencies. 6. Conflicts of Interest We respect the rights of our employees to manage their personal affairs and investments and do not wish to impinge on their personal lives. At the same time, you should avoid conflicts of interest that occur when your personal interests may interfere in any way with the performance of your duties or the best interests of our companies. A conflicting personal interest could result from an expectation of personal gain now or in the future or from a need to satisfy a prior or concurrent personal obligation. We expect you to be free from influences that conflict with the best interests of our companies, or might deprive our companies of your undivided loyalty in business dealings. Even the appearance of a conflict of interest where none actually exists can be damaging and should be avoided. Whether or not a conflict of interest exists or will exist can be unclear. If you have any questions about a potential conflict or if you become aware of an actual or potential conflict, and you are not an officer or director of one of our companies, you should


 
9 discuss the matter with your supervisor or with one of our Compliance Officers. Supervisors may not authorize conflict of interest matters or make determinations as to whether a problematic conflict of interest exists without first seeking the approval of the CCO and providing the CCO with a written description of the activity. If the supervisor is involved in the potential or actual conflict, you should discuss the matter directly with the CCO. Officers and directors may seek authorizations and determinations from the Ethics Committee of the Board of Directors. Factors that may be considered in evaluating a potential conflict of interest are, among others: • whether it may interfere with the employee’s job performance, responsibilities or morale; • whether the employee has access to confidential information; • whether it may interfere with the job performance, responsibilities or morale of others within the organization; • any potential adverse or beneficial impact on our business; • any potential adverse or beneficial impact on our relationships with our customers or suppliers or other service providers; • whether it would enhance or support a competitor’s position; • the extent to which it would result in financial or other benefit (direct or indirect) to the employee; • the extent to which it would result in financial or other benefit (direct or indirect) to one of our customers, suppliers or other service providers; and • the extent to which it would appear improper to an outside observer. Although no list can include every possible situation in which a conflict of interest could arise, the following are examples of situations that may, depending on the facts and circumstances, involve problematic conflicts of interests: • Employment by (including consulting for) or service on the board of a competitor, customer or supplier or other service provider. Activity that enhances or supports the position of a competitor to the detriment of one or more of our companies is prohibited, including employment by or service on the board of a competitor. Employment by or service on the board of a customer or supplier or other service provider is generally discouraged and you must seek authorization in advance if you plan to take such a position. • Owning, directly or indirectly, a significant financial interest in any entity that does business, seeks to do business or competes with us. In addition to the factors described above, persons evaluating ownership in other entities for conflicts of interest will consider the size and nature of the investment; the nature of the relationship between the other entity


 
10 and any one of our companies; the employee’s access to confidential information and the employee’s ability to influence one of our companies decisions. If you would like to acquire a financial interest of any kind, you must seek written approval in advance from the CCO. • Soliciting or accepting gifts, favors, loans or preferential treatment from any person or entity that does business or seeks to do business with us. See Section 10 for further discussion of the issues involved in this type of conflict. • Soliciting contributions to any charity or for any political candidate from any person or entity that does business or seeks to do business with us. • Taking personal advantage of corporate opportunities. See Section 7 for further discussion of the issues involved in this type of conflict. • Working at a second job without permission. • Conducting business transactions between any one of our companies and your family member or a business in which you or a family member has a significant financial interest. Material related-party transactions must be approved by the Audit Committee and the Ethics Committee and, if that activity involves any executive officer or director, that activity will be required to be publicly disclosed as required by applicable laws and regulations. Loans to, or guarantees of obligations of, employees or their family members by our companies could constitute an improper personal benefit to the recipients of these loans or guarantees, depending on the facts and circumstances. Some loans are expressly prohibited by law and applicable law requires that our Board of Directors approve all loans and guarantees to employees. As a result, all loans and guarantees by our companies must be approved in advance by the Board of Directors. 7. Corporate Opportunities. You may not take personal advantage of the opportunities of our companies that are presented to you or discovered by you as a result of your position with us or through your use of corporate property or information, unless authorized by the Board of Directors. Even opportunities that are acquired privately by you may be questionable if they are related to our existing or proposed lines of business. Significant participation in an investment or outside business opportunity that is directly related to our lines of business must be pre-approved by the board of directors of our company that is affected. You may not use your position with us or corporate property or information for improper personal gain, nor should you compete with us in any way. 8. Maintenance of Corporate Books, Records, Documents and Accounts; Financial Integrity; Public Reporting


 
11 The integrity of our records and public disclosure depends upon the validity, accuracy and completeness of the information supporting the entries to our books of account. Therefore, our corporate and business records should be completed accurately and honestly. The making of false or misleading entries, whether they relate to financial results or test results, is strictly prohibited. Our records serve as a basis for managing our business and are important in meeting our obligations to customers, suppliers, creditors, employees and others with whom we do business. As a result, it is important that our books, records and accounts accurately and fairly reflect, in reasonable detail, our assets, liabilities, revenues, costs and expenses, as well as all transactions and changes in assets and liabilities. We require that: • no entry be made in our books and records that intentionally hides or disguises the nature of any transaction or of any of our liabilities or misclassifies any transactions as to accounts or accounting periods; • transactions be supported by appropriate documentation; • the terms of sales and other commercial transactions be reflected accurately in the documentation for those transactions and all such documentation be reflected accurately in our books and records; • employees comply with our system of internal controls; and • no cash or other assets be maintained for any purpose in any unrecorded or “off-the-books” fund. Our accounting records are also relied upon to produce reports for our management, stockholders and creditors, as well as for governmental agencies. In particular, we rely upon our accounting and other business and corporate records in preparing the periodic and current reports that we file with the Securities and Exchange Commission (SEC). Securities laws require that these reports provide full, fair, accurate, timely and understandable disclosure and fairly present our financial condition and results of operations. Employees who collect, provide or analyze information for or otherwise contribute in any way in preparing or verifying these reports should strive to ensure that our financial disclosure is accurate and transparent and that our reports contain all of the information about the Gladstone group of companies that would be important to enable stockholders and potential investors to assess the soundness and risks of our business and finances and the quality and integrity of our accounting and disclosures. In addition: • no employee may take or authorize any action that would intentionally cause our financial records or financial disclosure to fail to comply with generally accepted accounting principles, the rules and regulations of the SEC or other applicable laws, rules and regulations; • all employees must cooperate fully with our Accounting Department and, when one is established, Internal Auditing Departments, as well as our independent public accountants and counsel, respond to their questions with candor and provide them with complete and


 
12 accurate information to help ensure that our books and records, as well as our reports filed with the SEC, are accurate and complete; and • no employee should knowingly make (or cause or encourage any other person to make) any false or misleading statement in any of our reports filed with the SEC or knowingly omit (or cause or encourage any other person to omit) any information necessary to make the disclosure in any of our reports accurate in all material respects. Any employee who becomes aware of any departure from these standards has a responsibility to report his or her knowledge promptly to a supervisor, a Compliance Officer, the Audit Committee or one of the other compliance resources described in Section 15. 9. Fair Dealing We strive to outperform our competition fairly and honestly. Advantages over our competitors are to be obtained through superior performance of our products and services, not through unethical or illegal business practices. Acquiring proprietary information from others through improper means, possessing trade secret information that was improperly obtained, or inducing improper disclosure of confidential information from past or present employees of other companies is prohibited, even if motivated by an intention to advance our interests. If information is obtained by mistake that may constitute a trade secret or other confidential information of another business, or if you have any questions about the legality of proposed information gathering, you must consult your supervisor or one of our Compliance Officers, as further described in Section 15. You are expected to deal fairly with our customers, suppliers, employees and anyone else with whom you have contact in the course of performing your job. Be aware that the Federal Trade Commission Act provides that “unfair methods of competition in commerce, and unfair or deceptive acts or practices in commerce, are declared unlawful.” It is a violation of this Act to engage in deceptive, unfair or unethical practices and to make misrepresentations in connection with sales activities. Employees involved in procurement have a special responsibility to adhere to principles of fair competition in the purchase of products and services by selecting suppliers based exclusively on normal commercial considerations, such as quality, cost, availability, service and reputation, and not on the receipt of special favors. 10. Gifts and Entertainment Business gifts and entertainment are meant to create goodwill and sound working relationships and not to gain improper advantage with customers or facilitate approvals from government officials. The exchange, as a normal business courtesy, of meals or entertainment (such as tickets to a game or the theatre or a round of golf) is a common and acceptable practice as long as it is not extravagant. Unless express written permission is received from a supervisor, the CCO or the Ethics Committee, gifts and entertainment cannot be offered, provided or accepted by any employee unless consistent with customary business practices and not (a) of more than


 
13 token or nominal monetary value, (b) in cash, (c) susceptible of being construed as a bribe or kickback, (d) made or received on a regular or frequent basis or (e) in violation of any laws. This principle applies to our transactions everywhere in the world, even where the practice is widely considered “a way of doing business.” Employees should not accept gifts or entertainment that may reasonably be deemed to affect their judgment or actions in the performance of their duties. Our customers, suppliers and the public at large should know that our employees’ judgment is not for sale. 11. Protection and Proper Use of Company Assets All employees are expected to protect our assets and ensure their efficient use. Theft, carelessness and waste have a direct impact on our profitability. Our property, such as office supplies, computer equipment, buildings and products, are expected to be used only for legitimate business purposes, although incidental personal use may be permitted. You may not, however, use our corporate name, any brand name or trademark owned or associated with our companies or any letterhead stationery for any personal purpose. We each have personal responsibility to guard and ensure the security of our information systems and data. Our employees will exercise reasonable cyber security awareness by managing their access to our equipment, systems and information/data assets with the utmost care, confidentiality and professionalism. These assets are intended to advance the success of the company. Our assets include facilities, equipment, computers and information systems, smartphones, information and data assets. • Protect company assets from loss or harm. • Don’t appropriate, borrow or loan company assets without permission. • Use care when transferring confidential information via email. • Use care when transferring confidential information onto a portable storage device such as a memory stick. • Keep computer equipment safe and secure at all times and protect your user IDs and passwords. • Keep confidential and proprietary information safe and secure. Exercise cyber security by looking after our intellectual property and be vigilant of potential attempts (ex., phishing/spam/fraudulent emails, unusual system activity, etc.) to breach our computer systems by notifying compliance, resource management, or our IT service when suspicion arises. You may not, while acting on behalf of our companies or while using our computing or communications equipment or facilities, either: • Permit an external entity to access our computer systems without authorization from compliance or resource management; or


 
14 • access the internal computer system (also known as “hacking”) or other resource of another entity without express written authorization from the entity responsible for operating that resource; or • if you receive authorization to access another entity’s internal computer system or other resource, you must make a permanent record of that authorization so that it may be retrieved for future reference, and you may not exceed the scope of that authorization; or • commit any unlawful or illegal act, including harassment, libel, fraud, sending of unsolicited bulk email (also known as “spam”) in violation of applicable law, trafficking in contraband of any kind or espionage. Unsolicited bulk email is regulated by law in a number of jurisdictions. If you intend to send unsolicited bulk email to persons outside of our companies, either while acting on our behalf or using our computing or communications equipment or facilities, you should contact your supervisor or the CCO for approval. All data residing on or transmitted through our computing and communications facilities, including email and word processing documents, is the property of our companies and subject to inspection, retention and review by us, with or without an employee’s or third party’s knowledge, consent or approval, in accordance with applicable law. Any misuse or suspected misuse of our assets must be immediately reported to your supervisor or a Compliance Officer. 12. Confidentiality One of our most important assets is our confidential information. As an employee of our companies, you may learn of information about our business that is confidential and proprietary. You also may learn of information before that information is released to the general public. Employees who have received or have access to confidential information should take care to keep this information confidential. Confidential information includes non-public information that might be of use to competitors or harmful to our companies or its customers if disclosed, such as business, marketing and service plans, financial information, product architecture, source codes, designs, databases, customer lists, pricing strategies, personnel data, personally identifiable information pertaining to our employees, customers or other individuals, and similar types of information provided to us by our customers, suppliers and partners. This information may be protected by patent, trademark, copyright and trade secret laws. In addition, because we interact with other companies and organizations, there may be times when you learn confidential information about other companies before that information has been made available to the public. You must treat this information in the same manner as you are required to treat our confidential and proprietary information. There may even be times when you must treat as confidential the fact that we have an interest in, or are involved with, another company. You are expected to keep confidential and proprietary information confidential unless and until that information is released to the public through approved channels (usually through a press


 
15 release, an SEC filing or a formal communication from a member of senior management, as further described in Section 13). Every employee has a duty to refrain from disclosing to any person confidential or proprietary information about us or any other company learned in the course of employment here, until that information is disclosed to the public through approved channels. This policy requires you to refrain from discussing confidential or proprietary information with outsiders and even with other of our companies’ employees, unless those fellow employees have a legitimate need to know the information in order to perform their job duties. Unauthorized use or distribution of this information could also be illegal and result in civil liability or criminal penalties. You should also take care not to inadvertently disclose confidential information. Materials that contain confidential information, such as memos, notebooks, computer disks and laptop computers, should be stored securely. Unauthorized posting or discussion of any information concerning our business, information or prospects on the Internet is prohibited. You may not discuss our business, information or prospects in any “chat room,” regardless of whether you use your own name or a pseudonym. Be cautious when discussing sensitive information in public places like elevators, airports, restaurants and “quasi-public” areas within the Gladstone group of companies. All our companies emails, voicemails and other communications are presumed confidential and should not be forwarded or otherwise disseminated outside of our companies, except where required for legitimate business purposes. In addition to the above responsibilities, if you are handling information protected by any privacy policy published by us, such as our website privacy policy, then you must handle that information in accordance with the applicable policy. 13. Media and Public Discussions It is our policy to disclose material information concerning our companies to the public only through specific limited channels to avoid inappropriate publicity and to ensure that all those with an interest in the company will have equal access to information. All inquiries or calls from the press and financial analysts should be referred to the Chief Executive Officer (“CEO”) or our Investor Relations Manager. We have designated our CEO as our official spokesperson for financial matters. We have designated the President of one of our companies or our Chief Investment Officer (“CIO”) as our official spokesperson for marketing, and other related information. Unless a specific exception has been made by the CEO, these designees are the only people who may communicate with the press on behalf of our companies. In addition, our compliance policies and procedures require that communications of this nature, including advertisements, presentations or speeches and website content, be reviewed by the CCO. You also may not provide any information to the media about us off the record, for background, confidentially or secretly. 14. Waivers Any waiver of this Code for executive officers (including our principal executive officer, principal financial officer, principal accounting officer or controller (or persons performing similar


 
16 functions) or directors may be authorized only by the Board of Directors of our companies, and will be disclosed to stockholders as required by applicable laws, rules and regulations. 15. Compliance Standards and Procedures Compliance Resources; Compliance Officers To facilitate compliance with this Code, we have implemented a program of Code awareness, training and review. We have designated our CCO to oversee this program. The CCO will have staff to assist in oversight of the program. The Compliance Officers are persons to whom you can address any questions or concerns. Please contact your manager or the head of Human Resources to determine who has been appointed as a Compliance Officer. In addition to fielding questions or concerns with respect to potential violations of this Code, the CCO is responsible for: • investigating possible violations of this Code; • training new employees in Code policies; • conducting annual training sessions to refresh employees’ familiarity with this Code; • reviewing all personal securities transactions and holdings reports required by Appendix A to this Code; • distributing this Code by hard copy or by email to each employee upon initial hire and annually thereafter, and upon any amendment of this Code, and requiring written acknowledgement of the receipt of this Code and any such amendments as a reminder that each employee is responsible for reading, understanding and complying with this Code; • updating this Code as needed and alerting employees to any updates, with appropriate approval of the Ethics Committee, to reflect changes in the law, our companies operations and in recognized best practices, and to reflect our companies experience; and • otherwise promoting an atmosphere of responsible and ethical conduct. • Your most immediate resource for any matter related to this Code is your supervisor. He or she may have the information you need or may be able to refer the question to another appropriate source. There may, however, be times when you prefer not to go to your supervisor. In these instances, you should feel free to discuss your concern with a Compliance Officer. If you are uncomfortable speaking with a Compliance Officer because he or she works in your department or is one of your supervisors, please contact a member of the Ethics Committee. You may also report violations directly to members of the Ethics Committee by either sending a letter to Global Compliance Services, 13950 Ballantyne Corporate Place, Suite 300, Charlotte, NC 28277 or by calling our companies’ toll-free hotline run by Global Compliance Services at 1-888-475-4914 and speaking with a representative who will transmit the information to the Ethics Committee. The


 
17 Ethics Committee will pass on to the Audit Committee of the Board of Directors all information related to complaints or observations that involve accounting, internal accounting controls and auditing concerns. You may call the toll-free number anonymously if you prefer as it is not equipped with caller identification, although Global Compliance Services will be unable to obtain follow-up details from you that may be necessary to investigate the matter. Whether you identify yourself or remain anonymous, your telephonic contact with Global Compliance Services through the toll- free number will be kept strictly confidential to the extent reasonably possible within the objectives of this Code. 16. Amendments and Modifications This Code of Ethics and Business Conduct may not be amended or modified except in a written form which is specifically approved by majority vote of the independent directors of the applicable entities. This Code of Ethics and Business Conduct was adopted by the Board of Directors of Gladstone Capital, Gladstone Investment, Gladstone Land, and Gladstone Commercial, including the independent directors, on January 28, 2013. 17. Pay to Play Policy In light of recent scandals involving public pension plans and the practice of making campaign contributions to elected officials in order to influence the awarding of lucrative contracts for the management of public pension plan assets and similar government investment accounts, so-called “pay to play,” the Securities and Exchange Commission adopted Rule 206(4)-5 amending the Investment Advisers Act of 1940 (hereinafter “Rule 206(4)-5” or the “Rule”) prohibiting investment advisors from receiving compensation for advisory services rendered to a public pension plan or other government investment account if certain political contributions are made by the adviser, or certain of its executives and employees. The Rule covers, among other things, all direct contributions made to incumbent state or local officials, or candidates for state or local office, direct contributions to state or local political party committees, and indirect contributions such as in-kind contributions, and soliciting or coordinating contributions. Rule 206(4)-5 applies to the Adviser because it is a registered investment adviser under the Investment Advisers Act of 1940 and to Gladstone Securities, LLC (“GSC”) because it is a registered broker dealer soliciting Government Entities on behalf of the Adviser.1 Although the 1 The Rule makes it unlawful for any investment adviser subject to the Rule or any of the adviser’s covered associates to make direct or indirect payment to any person to solicit government clients for investment advisory services on the investment adviser’s behalf unless the “solicitor” is subject to prohibitions against participating in pay to play practices and subject to oversight by the Securities and Exchange Commission or a registered national securities association


 
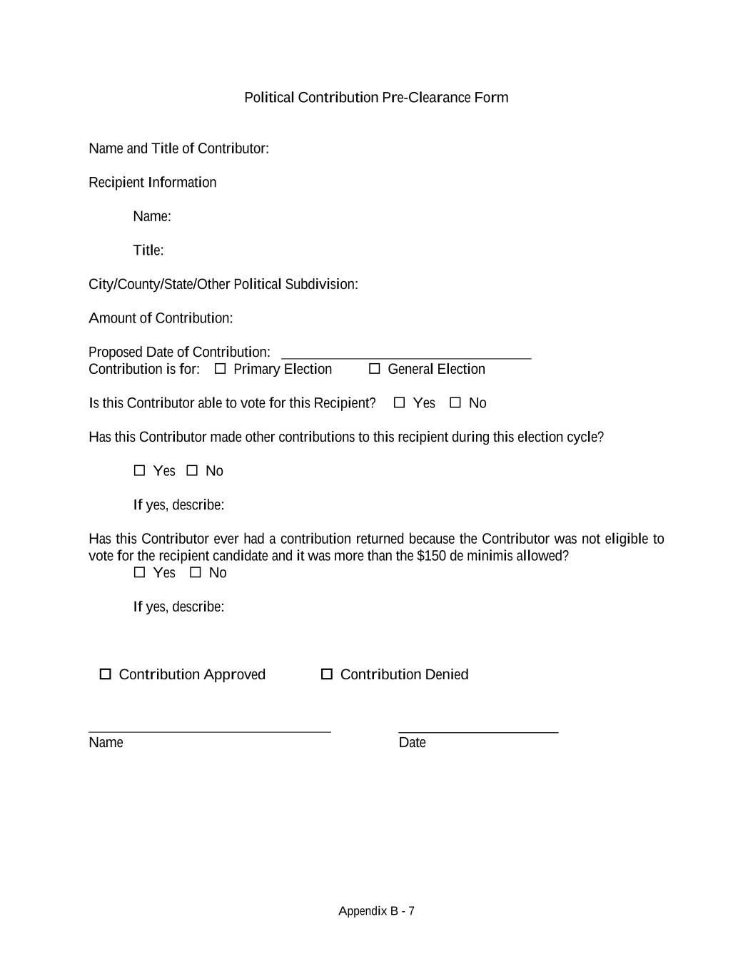
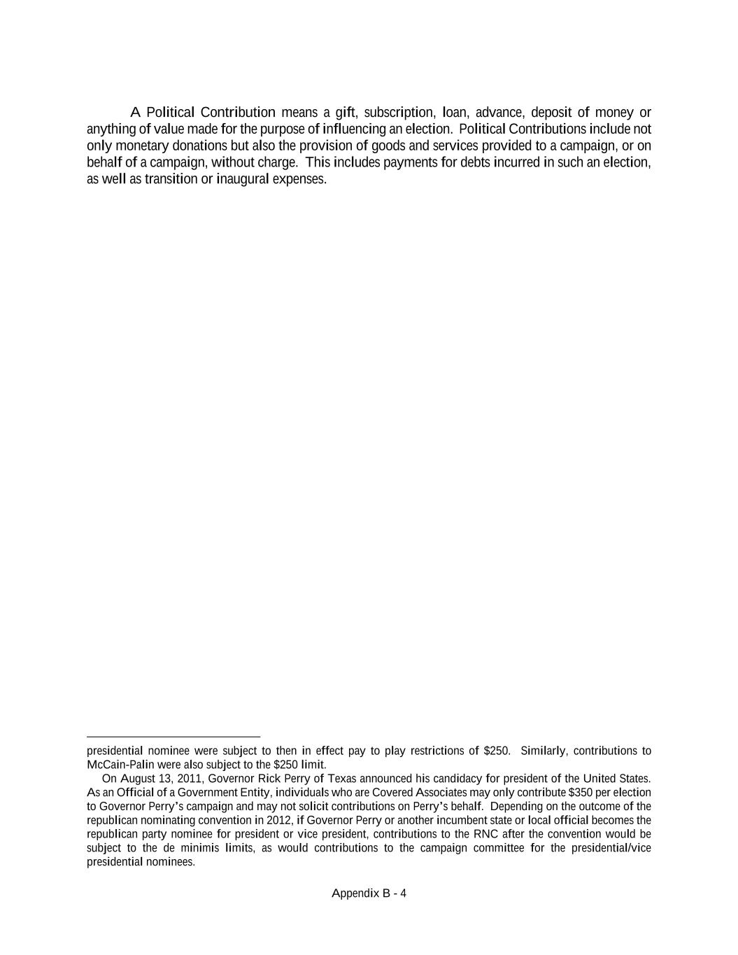
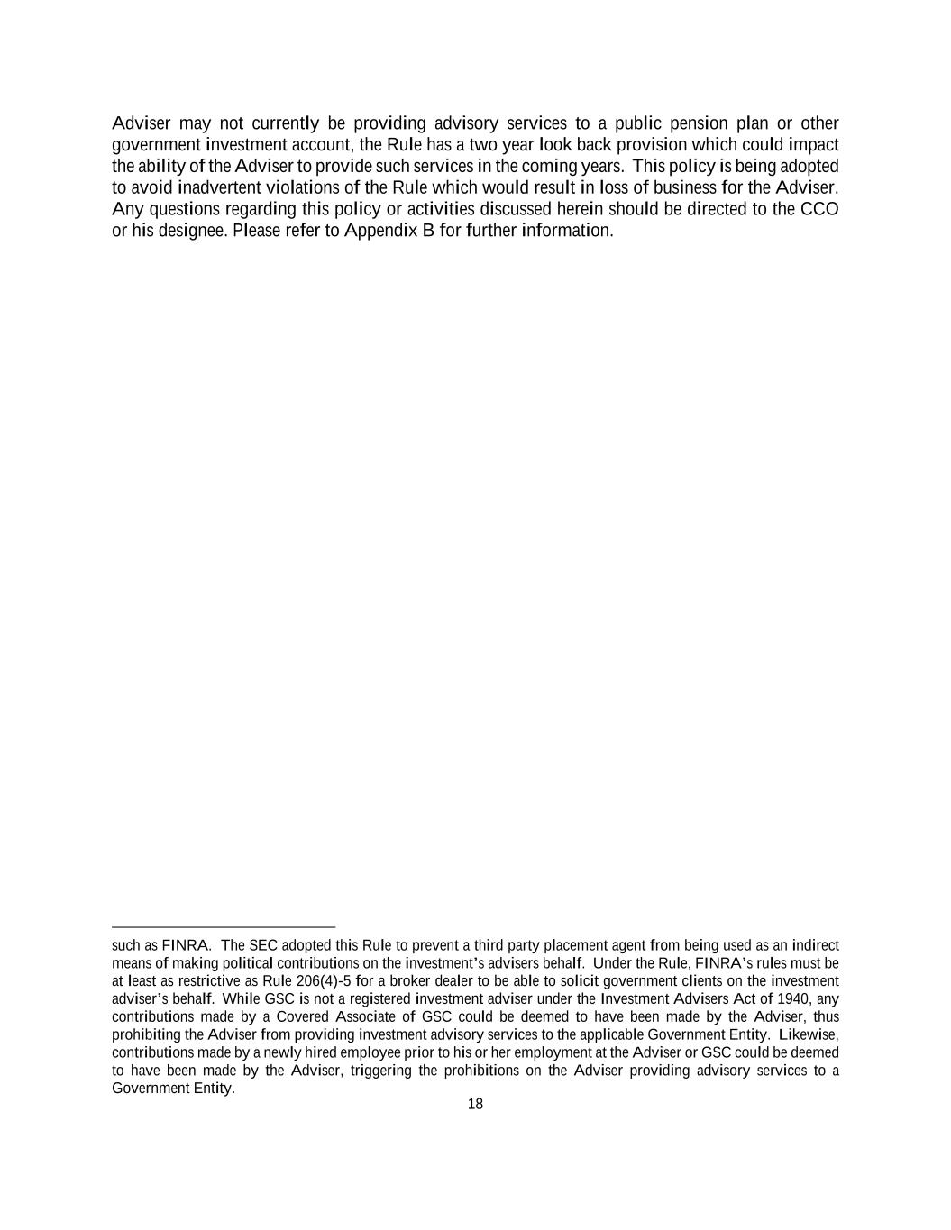
18 Adviser may not currently be providing advisory services to a public pension plan or other government investment account, the Rule has a two year look back provision which could impact the ability of the Adviser to provide such services in the coming years. This policy is being adopted to avoid inadvertent violations of the Rule which would result in loss of business for the Adviser. Any questions regarding this policy or activities discussed herein should be directed to the CCO or his designee. Please refer to Appendix B for further information. such as FINRA. The SEC adopted this Rule to prevent a third party placement agent from being used as an indirect means of making political contributions on the investment’s advisers behalf. Under the Rule, FINRA’s rules must be at least as restrictive as Rule 206(4)-5 for a broker dealer to be able to solicit government clients on the investment adviser’s behalf. While GSC is not a registered investment adviser under the Investment Advisers Act of 1940, any contributions made by a Covered Associate of GSC could be deemed to have been made by the Adviser, thus prohibiting the Adviser from providing investment advisory services to the applicable Government Entity. Likewise, contributions made by a newly hired employee prior to his or her employment at the Adviser or GSC could be deemed to have been made by the Adviser, triggering the prohibitions on the Adviser providing advisory services to a Government Entity.


 
Appendix A-1 Appendix A Insider Trading Policy For Gladstone Capital Corporation Gladstone Commercial Corporation Gladstone Investment Corporation Gladstone Land Corporation Gladstone Management Corporation Gladstone Administration LLC Gladstone Securities, LLC and their subsidiaries This Insider Trading Policy (the “Policy”) has been adopted to comply with Rules 17j-l under the Investment Company Act of 1940 (the “Investment Company Act”) and 204A under the Investment Advisers’ Act of 1940 (the “Advisers’ Act”) (the “Rules”). The Policy establishes standards and procedures designed to address conflicts of interest and detect and prevent abuse of fiduciary duty by persons with knowledge of the investments and investment intentions of Gladstone Management Corporation (the “Adviser”), Gladstone Administration LLC (the “Administrator”), Gladstone Securities, LLC, Gladstone Capital Corporation, Gladstone Commercial Corporation, Gladstone Investment Corporation, Gladstone Land Corporation, their subsidiaries, and other funds managed and administered by the Adviser and the Administrator (collectively, the “Funds”). THIS POLICY WAS ORIGINALLY INCORPORATED BY REFERENCE INTO AND MADE A PART OF THE CODE OF ETHICS AND BUSINESS CONDUCT ADOPTED BY THE BOARDS OF DIRECTORS OF THE ADVISER AND THE FUNDS ON OCTOBER 11, 2005 (THE “CODE OF ETHICS”). ANY VIOLATION OF THIS POLICY IS SUBJECT TO SANCTIONS DESCRIBED IN THE CODE OF ETHICS. (a) General Policy (i) It is the policy of the Adviser, the Administrator and the Funds to oppose the unauthorized disclosure of any non-public information acquired in the workplace and the misuse of Material Non-public Information in securities trading. It is also the policy of the Adviser, the Administrator and the Funds to restrict trading of the Fund’s securities in a manner that minimizes the possibility of any unintentional violation of the securities laws. We have adopted several specific restrictions, outlined in this Policy, to effect the Company’s general policy.


 
Appendix A-2 (ii) This Policy acknowledges the general principles that officers, directors and employees of the Adviser, the Administrator, the Funds or any other company in a Control relationship to the Adviser, the Administrator or the Funds, referred to in this Policy as “Covered Persons,” (A) owe a fiduciary obligation to the Funds, the Administrator and the Adviser; (B) have the duty at all times to protect the interests of stockholders; (C) must conduct all personal securities transactions in such a manner as to avoid any actual or potential conflict of interest or abuse of an individual’s position of trust and responsibility; and (D) should not take inappropriate advantage of their positions in relation to the Funds, the Administrator or the Adviser. In recognition of the relationship between Covered Persons and members of their immediate family sharing a household with the Covered Person and entities whose investment decisions are influenced or controlled by such individuals, this Policy also applies to such persons, who are referred to in this Policy as “Insiders.” (iii) The Rules make it unlawful for Covered Persons to engage in conduct which is deceitful, fraudulent or manipulative, or which involves false or misleading statements, in connection with the purchase or sale of securities by an investment company. Accordingly, under the Rules and this Policy no Covered Person shall use any information concerning the investments or investment intentions of the Funds, or his or her ability to influence such investment intentions, for personal gain or in a manner detrimental to the interests of the Funds. In addition, the Rules and this Policy also contain additional restrictions for Covered Persons who are involved in or have access to information regarding securities recommendations made to the Funds, referred to in this Policy as Access Persons. (iv) Generally speaking, the restrictions in this Policy are time-based, to take account of events we know will occur on a regular basis, such as quarterly earnings releases, and circumstance-based, to address situations where information such as anticipated significant investment transactions, securities offerings, or any other such information that would likely affect the price of the Funds’ securities, is not yet known to the general public. (b) Definitions. For purposes of this Policy, (i) “Access Person” means any officer, employee director or managing director of the Adviser, the Administrator or the Funds, or any other company in a Control relationship to the Adviser, the Administrator or the Funds who is involved in or has access to information regarding securities recommendations made to the Funds. (ii) “Administrative Officer” means the CCO of the Relevant Fund, or, if the CCO of the Relevant Fund is not available, then the Internal Counsel of the Relevant Fund, or if the CCO and Internal Counsel of the Relevant Fund are not available, then the Chief Financial Officer of the Relevant Fund. Notwithstanding the foregoing, in the case of the pre-clearance of a Covered Transaction within the meaning of Section (b)(viii)(2) below, “Administrative Officer” means the CCO of the Adviser, or, if the CCO of the Adviser is not available, then the Internal Counsel of the Adviser, or if the CCO and Internal Counsel of the Adviser are not available, then the Chief Financial Officer of the Adviser.


 
Appendix A-3 (iii) “Beneficial Interest” means any interest by which a Covered Person or any member of his or her Immediate Family, can directly or indirectly derive a monetary benefit from the purchase, sale (or other acquisition or disposition) or ownership of a Security, except such interests as Clearing Officers (defined below) shall determine to be too remote for the purpose of this Policy. (A transaction in which a Covered Person acquires or disposes of a Security in which he or she has or thereby acquires a direct or indirect Beneficial Interest is sometimes referred to in this Code of Ethics as a “personal securities” transaction or as a transaction for the person’s “own account”). (iv) “CCO” means Chief Compliance Officer, as duly appointed. (v) “Control” means the power to exercise a controlling influence over the management or policies of a company (unless such power is solely the result of an official position with such company). Any person who owns beneficially, directly or through one or more controlled companies, more than 25% of the voting securities of a company shall be presumed to control such company. For purposes of this Policy, natural persons and portfolio companies of the Funds shall be presumed not to be controlled persons. (vi) “Covered Person” means any officer, director or employee of the Adviser, the Administrator, the Funds or any other company in a Control relationship to the Adviser, the Administrator or the Funds, but does not include portfolio companies of the Funds. (vii) “Covered Security” includes any Fund Securities and all debt obligations, stock and other instruments comprising the investments of the Funds, including any warrant or option to acquire or sell a security and financial futures contracts, but excludes securities issued by the U.S. government or its agencies, bankers’ acceptances, bank certificates of deposit, commercial paper and shares of a mutual Company. References to a “Covered Security” in this Policy shall include any warrant for, option in, or security convertible into that “Covered Security.” (viii) “Covered Transaction” means any of the following transactions: (1) A transaction in which such Covered Person knows or should know at the time of entering into the transaction that: (i) any of the Funds has engaged in a transaction in the same Security within the last 180 days, or is engaging in a transaction or is going to engage in a transaction in the same Security in the next 180 days; or (ii) the Adviser has within the last 180 days considered a transaction in the same Security for any of the Funds or is considering such a transaction in the Security or within the next 180 days is going to consider such a transaction in the Security; (2) a transaction that involves the direct or indirect acquisition of Securities in an initial public offering or Limited Offering of any issuer; or (3) a transaction in any Fund Security.


 
Appendix A-4 (ix) “Fund Security” means any security issued by any of the Funds. References to a “Fund Security” in this Policy shall include any warrant for, option in, or security convertible into that “Fund Security.” (x) “Immediate Family” includes any children, stepchildren, grandchildren, parents, stepparents, grandparents, spouses, siblings, mothers-in-law, fathers-in-law, sons-in-law, daughters-in-law, brothers-in-law, or sisters-in-law, including adoptive relationships, who live in the same household. (xi) “Independent Officer” means an officer of the Relevant Fund other than the Administrative Officer who is not a party to the transaction or a relative of a party to the transaction. Notwithstanding the foregoing, in the case of the pre-clearance of a Covered Transaction within the meaning of Section (b)(viii)(2) below, “Independent Officer” means an officer of the Adviser other than the Administrative Officer who is not a party to the transaction or a relative of a party to the transaction. (xii) “Insiders” means Covered Persons, their Immediate Family and entities whose investment decisions are influenced or controlled by such individuals. (xiii) “Limited Offering” means an offering that is exempt from registration under Sections 4(2) or 4(6) of, or Regulation D under, the Securities Act of 1933. Limited Offerings may include, among other things, limited partnership or limited liability company interests, or other Securities purchased through private placements. (xiv) “Loan Officer” means an Access Person who is responsible for making decisions as to Securities to be bought or sold for the Funds’ portfolio. (xv) “Non-Access Person” means any employee of the Adviser, the Administrator, the Funds, or any other company in a Control relationship to the Adviser or the Funds, which employee is not an “Access Person.” (xvi) “Relevant Fund” means the Fund to which the relevant Covered Securities relate. (xvii) A “Security held or to be acquired” by the Funds means any Security which, within the most recent 180 days is or has been held by the Funds or is being or has been considered for purchase by the Funds. (xviii) A Security is “being considered for purchase or sale” from the time an amendment letter is signed by or on behalf of the Funds until the closing with respect to that Security is completed or aborted. (xix) “Security” means any note, stock, treasury stock, security future, bond, debenture, evidence of indebtedness, certificate of interest or participation in any profit-sharing agreement, collateral-trust certificate, preorganization certificate or subscription, transferable share, investment contract, voting-trust certificate, certificate of deposit for a security, fractional


 
Appendix A-5 undivided interest in oil, gas, or other mineral rights, any put, call, straddle, option, or privilege on any security (including a certificate of deposit) or on any group or index of securities (including any interest therein or based on the value thereof), or any put, call, straddle, option, or privilege entered into on a national securities exchange relating to foreign currency, or, in general, any interest or instrument commonly known as a “security”, or any certificate of interest or participation in, temporary or interim certificate for, receipt for, guarantee of, or warrant or right to subscribe to or purchase, any of the foregoing. (xx) “Trading Day” means a day on which the Nasdaq Global Market is open for trading. A Trading Day begins at the time trading begins on such day following the date of public disclosure of the financial results for that quarter. (c) Material Non-public Information. Material Non-public Information means any information that a reasonable investor would likely consider important in a decision to buy, hold or sell Covered Securities that has not already been disclosed generally to the public. Either positive or negative information may be material. (i) Materiality. While it may be difficult to determine whether particular information is material, there are various categories of information that are particularly sensitive and, as a general rule, should always be considered material. Examples of such information include, but are not limited to: (1) a Fund’s financial results, (2) known but unannounced large deviations in planned future earnings or losses, (3) execution or termination of significant investment transactions, (4) news of a pending or proposed merger or other acquisition, (5) changes in a Fund’s dividend rate or dividend policy, (6) news of the disposition, construction or acquisition of significant assets, (7) impending bankruptcy or financial liquidity problems, (8) significant developments involving corporate relationships, (9) new equity or debt offerings, (10) security buyback programs, (11) positive or negative developments in significant outstanding litigation, (12) significant litigation exposure due to actual or threatened litigation, (13) significant changes to existing debt facilities and (14) major changes in senior management. (ii) Non-public. Information about the Adviser, the Administrator and the Funds that is not yet in general circulation should be considered non-public. It is important to note that information is not necessarily public merely because it has been discussed in the press, which will sometimes report rumors. All information that a Covered Person learns about the Adviser, the Administrator or the Funds or their business plans in connection with his or her employment is non-public information unless you can point to its official release by the Adviser, the Administrator or the Funds in a press release, a filing with the Securities and Exchange Commission (the “SEC”) or a publicly available webcast or similar broadcast sponsored by the Adviser, the Administrator or the Funds. If you are considering engaging in a Covered Transaction and have any question as to whether information of which you are aware has been made public, contact the CCO of the Relevant Fund. (d) Specific Requirements for Trading in Fund Securities (i) Trading Window. Except as permitted in Section (e)(iii) of this Policy, Insiders may only conduct transactions involving the purchase or sale of a Fund Security during


 
Appendix A-6 the period commencing at the open of the market on the third Trading Day following the date of the Relevant Fund’s filing of its Form 10-Q or 10-K for the most recently completed fiscal period and continuing until the close of the market on the fifteenth (15th) calendar day prior to the last day of the fiscal quarter (the “Trading Window”), after which time the Trading Window will be closed until it re-opens on the third Trading Day following the date of filing of the Form 10-Q or 10-K for the subsequent period. Notwithstanding anything in this Policy to the contrary, in certain special circumstances involving a high level of market volatility, Insiders may conduct transactions involving the purchase or sale of a Fund Security outside the Trading Window, but not later than the last day of the fiscal quarter, provided that each such trade complies with the pre-clearance procedures outlined in Section (e)(i) of this Policy and is also approved in advance by the Relevant Fund’s Chief Executive Officer or President who is not placing the particular trade. In the event that the Insider and the Relevant Fund’s Chief Executive Officer and President are the same person, he or she must receive the approval of the Chief Operating Officer. In special circumstances, when insiders may have Material Non-public information, the CCO, Internal Counsel or the Chief Financial Officer of the Relevant Fund may, upon the concurrence of any two of such persons, close or open Trading Window or prevent a scheduled Trading Window from opening as originally scheduled. Upon determination that any such information no longer constitutes Material Non-public Information, the CCO, Internal Counsel or Chief Financial Officer of the Relevant Fund may, upon the concurrence of any two of such persons, re-open a Trading Window. (ii) Reserved. (iii) No Safe Harbor for Possession of Material Non-Public Information. Regardless of whether the Trading Window is open, the Funds and Insiders may not trade in Fund Securities while in possession of any Material Non-public Information (with the exception of trades pursuant to Rule 10b5-1 Trading Plans established in accordance with this Policy). Trading in Fund Securities during the Trading Window should not be considered a “safe harbor” from liability, and all Insiders should use good judgment at all times. (iv) Limit Orders. The prohibition against trading during the closed Trading Windows encompasses the fulfillment of “limit orders” (often referred to as “good until canceled orders”) by any broker with whom any such limit order is placed. Any unfilled limit orders in Fund Securities must be immediately canceled whenever (A) a Trading Window closes, including upon the imposition of a special circumstances closed Trading Window, or (B) the Insider comes into possession of Material Non-public Information. (v) Short Sales and Derivative Securities. No Insiders shall engage in a short sale of any Fund Security. A short sale is a sale of securities not owned by the seller or, if owned, not delivered against such sale within 20 days thereafter. In addition, trading in options to buy or sell Fund Securities (including put or call options), warrants, convertible securities, stock appreciation rights, or other similar rights with an exercise or conversion privilege at a price related to an equity security or with a value derived from the value of an equity security relating to a Fund Security (collectively, “Derivative Securities”), whether or not issued by the Funds, such as


 
Appendix A-7 exchange-traded options, are prohibited. Short sales and Derivative Security trading are prohibited by this Policy even when the Trading Window is open. (vi) Other Prohibited Activities. In addition, no Covered Person shall, directly or indirectly in connection with the purchase or sale of a “security held or to be acquired” (as defined in Section (b)(xvii) of this Policy) by the Funds: (a) employ any device, scheme or artifice to defraud the Funds; or (b) make to the Funds or the Adviser any untrue statement of a material fact or omit to state to any of the foregoing a material fact necessary in order to make the statements made, in light of the circumstances under which they are made, not misleading; or (c) engage in any act, practice, or course of business which operates or would operate as a fraud or deceit upon the Funds; or (d) engage in any manipulative practice with respect to the Funds. In addition, no Fund shall, directly or indirectly in connection with the purchase or sale of its securities: (a) employ any device, scheme or artifice to defraud; or (b) make any untrue statement of a material fact or omit to state to any of the foregoing a material fact necessary in order to make the statements made, in light of the circumstances under which they are made, not misleading; or (c) engage in any act, practice, or course of business which operates or would operate as a fraud or deceit upon any person. (e) Pre-Clearance of Covered Transactions (i) Pre-Clearance of Transactions in Fund Securities. Except for transactions that are exempted under Section (e)(iii) below, all Covered Persons must obtain pre- clearance for any transactions in Fund Securities using the following procedures: (1) From Whom Obtained. Before any Insider engages in any transaction in Fund Securities, the relevant Covered Person must pre-clear the proposed transaction with the Administrative Officer (the CCO of the Relevant Fund, or, if the CCO of the Relevant Fund is not available, then the Internal Counsel of the Relevant Fund, or if the CCO and Internal Counsel of the Relevant Fund are not available, then the Chief Financial Officer of the Relevant Fund). Until the Administrative Officer provides pre-clearance for the proposed transaction, such Insider shall not execute the proposed transaction. The Administrative Officer may consult management and counsel in reviewing and pre-clearing transactions, although the primary responsibility to assess whether a proposed transaction complies with this Policy and applicable law will lie with the Covered Person. (2) Pre-clearance Period. The Covered Person will have until the end of fourteen (14) calendar days following the day pre-clearance is received, or until such earlier time that the Trading Window closes or the Insider comes into possession of Material Non-Public Information, to execute the transaction. If for any reason the transaction is not completed within this period of time, pre-clearance must be re-obtained from the Administrative Officer. Execution of a trade shall include the actual sale or purchase, rather than simply placing of an order to do so. (3) Form. To initiate pre-clearance, you must contact the Administrative Officer in person, by phone, or email. After discussing the proposed trade, pre- clearance can be obtained by (i) completing and signing Schedule B, and obtaining the approval


 
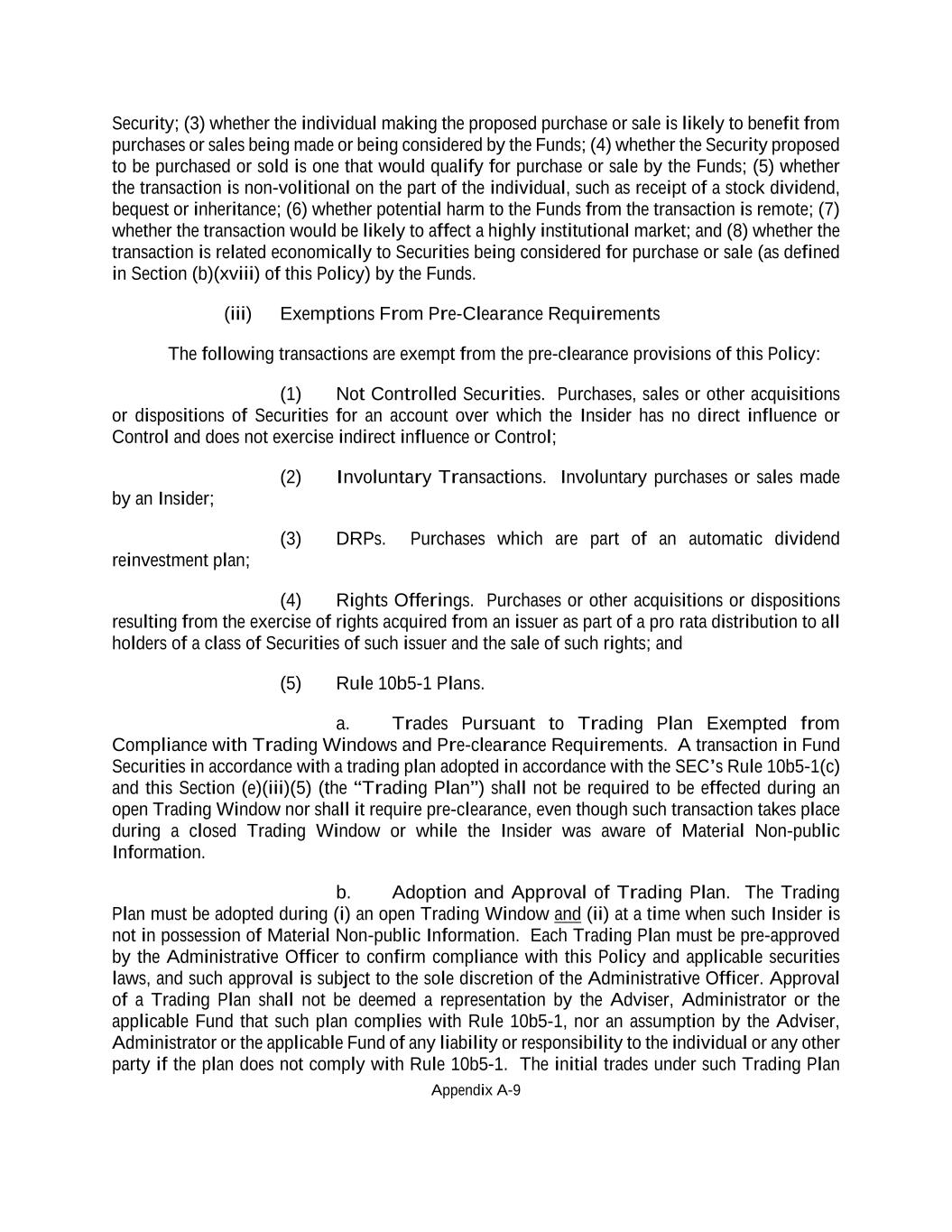
Appendix A-8 and signature of the Administrative Officer; or (ii) responding affirmatively to an email sent by the Administrative Officer containing all the required information of Schedule B and receiving a reply email from the Administrative Officer indicating such approval. Schedule B may be amended from time to time by the CCO of the Relevant Fund, with the permission of the Chairman of the Ethics Committee of the Relevant Fund. The Administrative Officer is the CCO of the Relevant FUND, or, if the CCO is not available, then the Internal Counsel of the Relevant Fund, or if the CCO and Internal Counsel are not available, then the CFO of the Relevant Fund. (4) Filing. A copy of all completed pre-clearance forms, with all required signatures (or, as applicable, email correspondence), shall be retained by the CCO of the Relevant Fund. (5) Insider’s Responsibility. Notwithstanding the foregoing, even if a proposed trade is pre-cleared, the Insider is prohibited from trading any Fund Securities while in possession of Material Non-public Information. (ii) Pre-Clearance of Non-Fund Securities Covered Transactions. With the exception of transactions in Fund Securities (covered in Section (e)(i) above) and transactions that are exempted under Section (e)(iii) below, Insiders proposing to engage in Covered Transactions must obtain pre-clearance of such Covered Transaction using the following procedures: (1) From Whom Obtained. Pre-clearance must be obtained from the Administrative Officer and one Independent Officer. (2) Pre-clearance Period. In the case of a proposed Covered Transaction, if the relevant Covered Person receives pre-clearance, the Insider will have until the end of fourteen (14) calendar days following the day pre-clearance is received to execute the transaction. If for any reason the transaction is not completed within this period of time, pre- clearance must be re-obtained before the transaction can be executed. (3) Form. Pre-clearance must be obtained in writing by completing and signing the “Request for Permission to Engage in a Non-Fund Securities Covered Transaction” form attached hereto as Schedule A, which form shall set forth the details of the proposed transaction, and obtaining the signatures of the Administrative Officer and one Independent Officer. Schedule A may be amended from time to time by the CCO of the Relevant Fund, with the permission of the Chairman of the Ethics Committee of the Relevant Fund. (4) Filing. A copy of all completed pre-clearance forms, with all required signatures, shall be retained by the CCO of the Relevant Fund. (5) Factors to be Considered in Pre-clearance of Non-Fund Securities Covered Transactions. The persons responsible for pre-clearance may refuse to grant pre-clearance of a Covered Transaction in their absolute discretion. Generally, such persons will consider the following factors in determining whether or not to clear a Covered Transaction: (1) whether the Insider is in possession of Material Non-Public Information, (2) whether the amount or nature of the transaction or person making it is likely to affect the price or market for the


 
Appendix A-9 Security; (3) whether the individual making the proposed purchase or sale is likely to benefit from purchases or sales being made or being considered by the Funds; (4) whether the Security proposed to be purchased or sold is one that would qualify for purchase or sale by the Funds; (5) whether the transaction is non-volitional on the part of the individual, such as receipt of a stock dividend, bequest or inheritance; (6) whether potential harm to the Funds from the transaction is remote; (7) whether the transaction would be likely to affect a highly institutional market; and (8) whether the transaction is related economically to Securities being considered for purchase or sale (as defined in Section (b)(xviii) of this Policy) by the Funds. (iii) Exemptions From Pre-Clearance Requirements The following transactions are exempt from the pre-clearance provisions of this Policy: (1) Not Controlled Securities. Purchases, sales or other acquisitions or dispositions of Securities for an account over which the Insider has no direct influence or Control and does not exercise indirect influence or Control; (2) Involuntary Transactions. Involuntary purchases or sales made by an Insider; (3) DRPs. Purchases which are part of an automatic dividend reinvestment plan; (4) Rights Offerings. Purchases or other acquisitions or dispositions resulting from the exercise of rights acquired from an issuer as part of a pro rata distribution to all holders of a class of Securities of such issuer and the sale of such rights; and (5) Rule 10b5-1 Plans. a. Trades Pursuant to Trading Plan Exempted from Compliance with Trading Windows and Pre-clearance Requirements. A transaction in Fund Securities in accordance with a trading plan adopted in accordance with the SEC’s Rule 10b5-1(c) and this Section (e)(iii)(5) (the “Trading Plan”) shall not be required to be effected during an open Trading Window nor shall it require pre-clearance, even though such transaction takes place during a closed Trading Window or while the Insider was aware of Material Non-public Information. b. Adoption and Approval of Trading Plan. The Trading Plan must be adopted during (i) an open Trading Window and (ii) at a time when such Insider is not in possession of Material Non-public Information. Each Trading Plan must be pre-approved by the Administrative Officer to confirm compliance with this Policy and applicable securities laws, and such approval is subject to the sole discretion of the Administrative Officer. Approval of a Trading Plan shall not be deemed a representation by the Adviser, Administrator or the applicable Fund that such plan complies with Rule 10b5-1, nor an assumption by the Adviser, Administrator or the applicable Fund of any liability or responsibility to the individual or any other party if the plan does not comply with Rule 10b5-1. The initial trades under such Trading Plan


 
Appendix A-10 shall not be permitted until at least thirty calendar days have passed following the establishment of the Trading Plan. c. Amendment of Trading Plan. An Insider may amend or replace his or her Trading Plan only during periods when trading is permitted in accordance with this Policy, and the relevant Covered Person must submit any proposed amendment or replacement of a Trading Plan to the Administrative Officer for approval prior to adoption. The relevant Covered Person must provide notice to the Administrative Officer prior to an Insider terminating a Trading Plan. d. Form. Pre-clearance of a Trading Plan must be obtained in writing by (i) completing and signing the “Request for Permission to Establish Rule 10b5-1 Trading Plan” form attached hereto as Schedule C, and (ii) obtaining the signature of the Administrative Officer. Schedule C may be amended from time to time by the CCO of the Relevant Fund, with the permission of the Chairman of the Ethics Committee of the Relevant Fund. e. Filing. A copy of all completed pre-clearance forms, with all required signatures, shall be retained by the CCO of the Relevant Fund. (f) Reporting Requirements. (i) Access Persons. (1) Holdings Reports. a. Initial Holdings Report. Within ten (10) days of becoming an Access Person, each Access Person shall make a written report to the CCO of the Relevant Fund of all Securities in which such Access Person holds a direct or indirect Beneficial Interest. Access Persons need not report any such Securities that are exempt under subsection (i)(1)(d) of this Section (f). The initial holdings report shall be made on the form provided for such purpose by the CCO of the Relevant Fund. Each initial holdings report must be current as of a date no more than forty-five (45) days prior to the date that the reporting person became an Access Person. b. Annual Holdings Reports. No later than February 13th of each year, each Access Person shall make a written report to the CCO of the Relevant Fund of all Securities in which such Access Person holds a direct or indirect Beneficial Interest. Access Persons need not report any such Securities that are exempt under subsection (i)(1)(d) of this Section (f). The annual holdings report shall be made on the form provided for such purpose by the CCO of the Relevant Fund. Each annual holdings report must be current as of a date no later than December 31st of the prior year. c. Contents of Holdings Reports. Holdings reports must contain, at a minimum, the following information with respect to each Security: (i) the title and type of each Security for which an Access Person holds a direct or indirect Beneficial Interest; (ii) for publicly traded Securities, the ticker symbol or CUSIP number for each such Security; (iii) the


 
Appendix A-11 principal amount of each Security; (iv) the name of any broker, dealer or bank with whom you, or any members of your Immediate Family, maintain an account in which any Securities are held for your direct or indirect benefit; and (v) the date of submission of the report. d. Exemptions from Holdings Reports. The following Securities are not required to be included in holdings reports made by Access Persons: i. Securities held in accounts over which an Access Person has no direct or indirect influence or control; ii. Direct obligations of the Government of the United States; iii. Bankers’ acceptances, bank certificates of deposit, commercial paper and high quality short-term debt instruments, including repurchase agreements; and iv. Shares issued by open-end funds. (2) Transaction Reports. a. Quarterly Report. Within thirty (30) days of the end of each calendar quarter, each Access Person must submit a quarterly report to the CCO of the Relevant Fund, on the form provided for such purpose by the CCO of the Relevant Fund, of all transactions during the calendar quarter in any Securities in which such Access Person has any direct or indirect Beneficial Interest. b. Contents of Transaction Reports. Quarterly Transaction Reports must contain, at a minimum, the following information with respect to each transaction in a Security: (i) the title and type of each Security involved; (ii) for publicly traded Securities, the ticker symbol or CUSIP number for each such Security; (iii) the number of shares, interest rate, and maturity date and principal amount, as applicable, of each Security involved; (iv) the price of the Security at which the transaction was effected; (v) the name of any broker, dealer or bank through which the transaction was effected; and (vi) the date of submission of the report. c. Exemptions from Transaction Reports. The following transactions are not required to be included in Quarterly transactions reports of Access Persons: i. Transactions in Securities over which an Access Person has no direct or indirect influence or control; ii. Transactions in Direct obligations of the Government of the United States; iii. Transactions in Bankers’ acceptances, bank certificates of deposit, commercial paper and high


 
Appendix A-12 quality short-term debt instruments, including repurchase agreements; iv. Transactions in shares issued by open-end funds; and v. Transactions which are part of an automatic dividend reinvestment plan. (ii) Non-Access Persons. (1) Annual Transactions Report. Within 10 days of the end of each calendar year, each Non-Access Person shall make a written report to the CCO of the Relevant Fund of all transactions by which they acquired or disposed of a direct or indirect Beneficial Interest in any Covered Security. (2) Form. Each annual report shall be provided on the form “Annual Securities Transactions Confidential Report of Non-Access Persons” form attached hereto as Schedule D, which form shall set forth the information regarding each transaction requested in the form. Schedule D may be amended from time to time by the CCO of the Relevant Fund, who shall promptly provide any form so amended to all Non-Access Persons. (3) Filing. A copy of all reports submitted pursuant to this Section (f), with all required signatures, shall be retained by the CCO of the Relevant Fund. (iii) Disclaimer. Any report made by an Access Person or Non-Access Person under this Section (e) may contain a statement that the report is not to be construed as an admission that the person making it has or had any direct or indirect Beneficial Interest in any Security or Covered Security to which the report relates. (iv) Responsibility to Report. It is the responsibility of all Covered Persons to take the initiative to provide each report required to be made by them under this Policy. Any effort by the Adviser, the Administrator or the Funds to facilitate the reporting process does not change or alter that responsibility. (g) Confidentiality of Transactions Until disclosed in a public report to stockholders or to the SEC in the normal course, all information concerning Securities being considered for purchase or sale (as defined in Section (b)(xv) of this Policy) by the Funds shall be kept confidential by all Access Persons and disclosed by them only on a “need to know” basis. It shall be the responsibility of the CCO to report any inadequacy found by him or her to the Board of Directors of the Company or any committee appointed by the Board of Directors to deal with such information. (h) Sanctions


 
Appendix A-13 Any violation of this Policy shall be subject to the imposition of such sanctions by the Funds or the Adviser as may be deemed appropriate under the circumstances to achieve the purposes of the Rules and this Policy, which may include suspension or termination of employment, a letter of censure or restitution of an amount equal to the difference between the price paid or received by the Funds and the more advantageous price paid or received by the offending person. Sanctions for violation of this Policy by a director of the Funds will be determined by a majority vote of the independent directors of the applicable Fund. (i) Administration and Construction (i) Administration. The administration of this Policy shall be the responsibility of the CCO of the Adviser and the Funds. (ii) Duties. The duties of the CCO under this Policy include: (1) continuous maintenance of a current list of the names of all Access and Non-Access Persons, with an appropriate description of their title or employment; (2) providing each Covered Person a copy of this Policy and informing them of their duties and obligations hereunder, and assuring that Covered Persons are familiar with applicable requirements of this Appendix; (3) supervising the implementation of this Policy and its enforcement by the Adviser, the Administrator and the Funds; (4) maintaining or supervising the maintenance of all records and reports required by this Policy; (5) preparing listings of all transactions effected by any Access Person within thirty (30) days of the date on which the same security was held, purchased or sold by any of the Funds; (6) issuing either personally or with the assistance of counsel, as may be appropriate, any interpretation of this Policy which may appear consistent with the objectives of the Rules and this Policy; (7) conducting of such inspections or investigations, including scrutiny of the listings referred to in the preceding subparagraph, as shall reasonably be required to detect and report, with recommendations, any apparent violations of this Policy to the Board of Directors of the Funds or any Committee appointed by them to deal with such information; and (8) submitting a quarterly report to the directors of the Funds containing a description of any (i) violation and the sanction imposed; (ii) transactions which suggest the possibility of a violation of interpretations issued by the CCO of the Relevant Fund; and (iii) any other significant information concerning the appropriateness of this Policy. (j) Required Records. The CCO shall maintain and cause to be maintained in an easily accessible place, the following records: (i) Code of Ethics and Policies. Copies of the Code of Ethics into which this Policy has been incorporated, this Policy, and any other codes of ethics or insider trading policies adopted pursuant to the Rules (“Rule 17 and Rule 204A Codes”) which have been in effect during the past five (5) years; (ii) Violations. A record of any violation of any such Rule 17 and Rule 204A Codes and of any action taken as a result of such violation;


 
Appendix A-14 (iii) Reports. A copy of each report made by the CCO within two (2) years from the end of the fiscal year of the Funds in which such report or interpretation is made or issued, and for an additional three (3) years in a place which need not be easily accessible; and (iv) List. A list of all persons who are, or within the past five (5) years have been, required to make reports pursuant to the Rules and any Rule 17 Code. (k) Amendments and Modifications This Policy may not be amended or modified except in a written form which is specifically approved by majority vote of the independent directors of the applicable Funds. This Policy was adopted by the Funds’ Boards of Directors, including the independent directors, on January 28, 2013.


 
Request to Engage in a Non-Fund Securities Covered Transaction Appendix A - 14 Updated March 17, 2020 SCHEDULE A REQUEST FOR PERMISSION TO ENGAGE IN A NON-FUND SECURITIES COVERED TRANSACTION I hereby request permission to effect a transaction in securities as indicated below for my own account or other account in which I have a beneficial interest or legal title. I acknowledge that if I am granted pre-clearance for my Transaction Request, I will have until the end of fourteen (14) calendar days following the day pre-clearance is received to execute the transaction. I also acknowledge that, if for any reason the transaction is not completed within this period of time, pre-clearance must be re-obtained before the transaction can be executed. (Use approximate dates and amounts of proposed transactions.) PURCHASES AND ACQUISITIONS Date IPO or Limited Offering? No. of Shares or Principal Amount Name and Trading Symbol of Security Unit Price Total Price Brokerage Firm SALES AND OTHER DISPOSITIONS Name: Request Date: Signature: Permission Granted  Permission Denied  Signature: (Administrative Officer) Date: Signature: Date: (Independent Officer or President/CEO)


 
Request for Pre-Clearance and Certification in Connection with a Transaction in Fund Securities Appendix A – 15 SCHEDULE B REQUEST FOR PRE-CLEARANCE AND CERTIFICATION IN CONNECTION WITH A TRANSACTION IN FUND SECURITIES Instructions: To initiate pre-clearance, you must contact the Administrative Officer in person, by phone, or email. After discussing the proposed trade, pre-clearance can be obtained by (1) completing and signing this Schedule B, and obtaining the approval and signature of the Administrative Officer; or (2) responding affirmatively to an email sent by the Administrative Officer containing all the required information of this Schedule B and receiving a reply email from the Administrative Officer indicating such approval. The Administrative Officer is the CCO of the Relevant Fund, or, if the CCO is not available, then the Internal Counsel of the Relevant Fund, or if the CCO and Internal Counsel are not available, then the CFO of the Relevant Fund. Capitalized terms used in this Schedule B have the meanings given them in the Insider Trading Policy as adopted by the Boards of Directors of the Funds on January 28, 2013 (the “Policy”). REQUEST FOR PRE-CLEARANCE I hereby request permission to effect a transaction in Fund Securities as indicated below for my own account or other account in which I have a beneficial interest or legal title. Requestor’s name: _________________________________ Transaction type (Buy or Sell):______________ Proposed order date: ___________________ Approximate number of shares (if debt securities, principal dollar amount) of trade: __________ Name and trading symbol of Fund Security: ____________________________________ CERTIFICATION Pursuant to the Policy, and in connection with the above request for pre-clearance (the “Transaction Request”), I, __________________, hereby certify that I am not in possession of any Material Non-public Information, as defined in the Policy. I further certify I have read and understand the Insider Trading Policy as adopted by the Boards of Directors of the Funds and am personally responsible for abiding by all the policies and procedures contained within the Policy and aware of the consequences of failing to do so. Signature: __________________________ Date: ______________________


 
Request for Pre-Clearance and Certification in Connection with a Transaction in Fund Securities PRE-CLEARANCE CONSIDERATIONS AND DECISION 1) Is the Fund involved in a stock offering (overnight, ATM, etc.)? If yes, consider whether requestor is an Affiliated Purchaser under Regulation M and precluded from trading in securities of Fund during offering period. 2) Is the trader currently subject to any lockup agreements resulting from recent stock offerings for this fund? Confirm with legal and compliance. If yes, determine if proposed trade is not allowed during the proposed trade period. Pre-clearance Granted  Pre-clearance Denied  Administrative Officer Signature: _____________________ Pre-clearance Granted/Denied Date: ___________________


 
Certification/Request For Pre-Approval Of Rule 10b5-1 Trading Plan Appendix A – 16 SCHEDULE C CERTIFICATION/REQUEST FOR PRE-APPROVAL OF RULE 10B5-1 TRADING PLAN Instructions: Contact the Administrative Officer to discuss your eligibility for a Rule 10b5-1 Trading Plan. The Administrative Officer is the CCO of the Relevant Fund, or, if the CCO is not available, then the Internal Counsel of the Relevant Fund, or if the CCO and Internal Counsel are not available, then the CFO of the Relevant Fund. Capitalized terms used in this Schedule C have the meanings given them in the Insider Trading Policy as adopted by the Boards of Directors of the Funds on January 28, 2013 (the “Policy”). REQUEST FOR PRE-CLEARANCE Pursuant to the Policy, I hereby request permission to enter into a Trading Plan pursuant to Rule 10b5- 1 under the Exchange Act. In connection with this request, I, __________________, hereby certify that: 1. I have delivered herewith the form of Trading Plan to the Administrative Officer. 2. I am not in possession of any Material Non-public Information, as defined in the Policy. 3. I further certify I have read and understand the Insider Trading Policy as adopted by the Boards of Directors of the Funds and am personally responsible for abiding by all the policies and procedures contained within the Policy and aware of the consequences of failing to do so. Signature: Date: ____________________ PRE-CLEARANCE CONSIDERATION AND DECISION 1) Is the Fund involved in a stock offering (overnight, ATM, etc.)? If yes, consider whether requestor is an Affiliated Purchaser under Regulation M and precluded from trading in securities of Fund during offering period. 2) Is the trader currently subject to any lockup agreements resulting from recent stock offerings for this fund? Confirm with legal and compliance. If yes, determine if proposed trade is not allowed during the proposed trade period. Pre-approval Granted  Pre-approval Denied  Administrative Officer Signature: _____________________ Pre-approval Granted/Denied Date: ___________________


 
Annual Securities Transactions Confidential Report of Non-Access Persons Appendix A – 17 SCHEDULE D ANNUAL SECURITIES TRANSACTIONS CONFIDENTIAL REPORT OF NON-ACCESS PERSONS The following schedule lists all transactions during the year ending December 31, ____ in which I had any direct or indirect Beneficial Interest in any Covered Security. Capitalized terms used in this schedule have the meanings given them in the Insider Trading Policy as adopted by the Boards of Directors of the Funds on January 28, 2013. (If no transactions took place you may write “None”) PURCHASES AND ACQUISITIONS Date No. of Shares or Principal Amount Name of Security Unit Price Total Price Brokerage Firm SALES AND OTHER DISPOSITIONS If you wish to disclaim Beneficial Ownership of any of the Covered Securities listed above, please check the statement below and describe the Securities for which you disclaim Beneficial Ownership. __ This report is not to be construed as an admission that the person making it has or had any direct or indirect Beneficial Interest in the following Securities to which this report relates: For the year ending Name: Date: Signature:


 
Annual Securities Transactions Confidential Report of Non-Access Persons Appendix A – 17


 
Appendix B - 1 Pay to Play Policy For Gladstone Capital Corporation Gladstone Commercial Corporation Gladstone Investment Corporation Gladstone Land Corporation Gladstone Management Corporation Gladstone Securities, LLC and their subsidiaries Appendix B A. Prohibited Conduct 1. Covered Associates (as defined in Section C. and explained further in the accompanying footnote) may not make any Political Contribution (defined Section C.) to any Official of a Government Entity (defined in Section C.), unless such Political Contribution has first been approved in writing by the CCO or his designee. This prohibition includes “in-kind” contributions, e.g., contributions of GMC or GSC property, services or other assets including employee work time spent on political activities and the solicitation of contributions by an employee. Failure to comply with this requirement may result in GMC's being barred from receiving compensation for supplying advisory services to such Government Entity or to a Covered Investment Pool (defined below) in which such Government Entity invests for a two-year period. This prohibition applies to fundraising activities, including soliciting or making Political Contributions, either monetary or in-kind. Please note, nothing in this Policy is meant to discourage Covered Associates from participating in the political process by expressing support for political candidates2 or voting. Covered Associates may support candidates in other ways, such as volunteering their time, so long as such volunteering occurs during non-work hours or on vacation time. Additionally, to avoid potentially problematic in-kind contributions, Covered Associates are prohibited from using GMC or GSC resources, including telephones, copiers, personnel, or other facilities to conduct political activities. Individuals who are Covered Associates may make a de minimis Political Contribution to an Official of a Government Entity for whom the Covered Associate is entitled to vote at the time of the contribution, provided that the Political Contribution does not exceed $350 in the aggregate to any one Official, per election. Individuals who are Covered Associates may also make a de minimis Political Contribution to an Official of a Government Entity for whom the Covered Associate is not 2 Please note, not all political candidates or incumbent politicians are included within the definition of Official of a Government Entity. Incumbent federal officeholders and candidates for federal office who do not hold a state or local office while running for federal office are not Officials of a Government Entity.


 
Appendix B - 2 entitled to vote, provided that the Political Contribution does not exceed $150 in the aggregate to any one Official, per election. Under both exceptions, primary and general elections would be considered separate elections. All de minimis contributions must also be disclosed to the CCO. Please note that broker dealers and individuals who are municipal finance professionals are subject to a lower de minimis contribution limit of $250 under MSRB Rule G-37. 2. A Covered Associate may not, without the prior written consent of the CCO or his designee, solicit or co-ordinate: (i) Political Contributions to Officials of a Government Entity, or (ii) payments to a state or local political party. For purposes of this Policy, solicitation or coordination of a Political Contribution or payment includes communicating, directly or indirectly, for the purpose of obtaining or arranging a Political Contribution or payment and would include asking, directing, or suggesting that a Political Contribution be made. For example, use of an individual’s name on fundraising literature for a candidate would be soliciting Political Contributions for that candidate. Similarly, even forwarding a solicitation to friends or family on behalf of a candidate or political party would be coordinating Political Contributions for that candidate or political party. 3. A Covered Associate may not compensate a third party placement agent or “finder” to solicit advisory business3 from a Government Entity on behalf of the Covered Associate, unless the third party is a registered broker-dealer or SEC-registered investment adviser subject to Rule 206(4)- 5. 4. Covered Associates may not circumvent these prohibitions by requesting, directing or causing contributions or payments to be made through other parties, including, but not limited to, spouses, family members or friends, or in any other way. B. Quarterly Reports Within 30 days after the end of each calendar quarter, each Covered Associate must submit a Political Contribution Report to the CCO in such form as he shall prescribe. As part of the hiring process, each newly-hired Covered Associate will be required to report information on any Political Contribution or other activity covered by this Policy. C. Definitions A Covered Associate4 includes: (i) GMC, (ii) GSC, (ii) GMC's or GSC’s President; (iii) any Vice-President or similar executive officer of GMC or GSC in charge of a business unit, division or function (such as sales, administration or finance); (iv) any other person who performs a policy- making function; (v) an employee who solicits a government entity for GMC; (vi) any person who directly or indirectly supervises an employee described in (v); or (vii) any political action committee controlled by GMC, GSC or any of their covered associates. 3 “Soliciting advisory business” means engaging in a communication that is reasonably calculated to obtain or retain a Government Entity as an advisory client. 4 Although GSC employees are not employees of the investment adviser GMC, for purposes of this policy and Rule 206(4)-5’s restrictions regarding third party placement agents discussed in footnote 1, GSC and certain of its employees will be deemed to be Covered Associates.


 
Appendix B - 3 In addition to the positions listed above, as of the date of this Policy, the following shall be considered Covered Associates: • Individuals holding Series 7 or 79 License • Individuals designated or acting in the position of Managing Director or higher; • Individuals designated as the head of a department; • Individuals having marketing responsibilities/Individuals designated as part of the Marketing Department; and • Individuals who solicit business from government entities or who supervise those who do. For internal reference only, on a quarterly basis, the CCO or his designee shall update Exhibit A hereto (delineating each individual he believes to be included within the definition of Covered Associate). A Covered Investment Pool includes an investment company registered under the Investment Company Act of 1940 that is an investment option of a plan or program of a Government Entity or any company that would be an investment company under section 3(a) of the Investment Company Act of 1940 but for the exclusion provided from that definition by 3(c)(1), 3(c)(7) or 3(c)(11) of the Investment Company Act of 1940.5 A Government Entity means any state or political subdivision thereof, including public pension funds and retirement systems. This includes such an entity's agency, authority or instrumentality; a pool of assets sponsored or established by the state or political subdivision, agency, authority or instrumentality thereof; a plan or program of a government entity; and officers, agents or employees of the government entity acting in their official capacity. An Official of a Government Entity is someone who can influence the hiring of an investment adviser for a government entity. This term includes someone who has the sole authority to select investment advisers for the government entity; someone who serves on a governing board that selects investment advisers; or someone who appoints those who select the investment advisers. It includes an incumbent, a candidate, or a successful candidate for state or local elective office. Note that it can also include a candidate for federal office, if that person is a covered state or local official at the time the Political Contribution is made. In certain circumstances, a national political party committee may be considered an Official of a Government Entity after the party’s nominating convention has concluded if at least one of the party’s nominees for president or vice president is a covered state or local official.6 5 Please note, at the time of writing this Policy, a Covered Investment Pool would include any private fund that GMC may wish to manage and raise capital from any state or political subdivision thereof, including public pension funds and retirement systems. It would also include a pooled investment vehicle sponsored or advised by an investment adviser as a funding vehicle or investment option in a government sponsored plan, such as a 529 plan (qualified tuition plan), 403(b) plan (tax-deferred employee benefit retirement plan), or a 457 plan ( tax-deferred employee benefit retirement plan) that typically allow participants to select among pre-established investment options or particular investment pools (often invested in registered investment companies or funds of funds, such as target date funds). 6 The national political party committees are the RNC, DNC, NRSC, DSCC, NRCC, and DCCC. Contributions or solicitations for contributions to a national political party committee may violate Rule 206(4)-5 if one or more of the party’s nominees for president or vice president is a covered state or local official. For example, in 2008, contributions to the RNC after the nominating convention which chose Sarah Palin, then incumbent Governor of Alaska, as vice


 
Appendix B - 4 A Political Contribution means a gift, subscription, loan, advance, deposit of money or anything of value made for the purpose of influencing an election. Political Contributions include not only monetary donations but also the provision of goods and services provided to a campaign, or on behalf of a campaign, without charge. This includes payments for debts incurred in such an election, as well as transition or inaugural expenses. presidential nominee were subject to then in effect pay to play restrictions of $250. Similarly, contributions to McCain-Palin were also subject to the $250 limit. On August 13, 2011, Governor Rick Perry of Texas announced his candidacy for president of the United States. As an Official of a Government Entity, individuals who are Covered Associates may only contribute $350 per election to Governor Perry’s campaign and may not solicit contributions on Perry’s behalf. Depending on the outcome of the republican nominating convention in 2012, if Governor Perry or another incumbent state or local official becomes the republican party nominee for president or vice president, contributions to the RNC after the convention would be subject to the de minimis limits, as would contributions to the campaign committee for the presidential/vice presidential nominees.


 
Appendix B - 5 Quarterly Political Contribution Report GMC, as a registered investment adviser under the Investment Advisers Act of 1940, is required by law to maintain books and records regarding certain political contributions made by its Covered Associates. Pursuant to our Pay to Pay Policy, please provide information regarding your Political Contributions. If you are unsure whether to report a Political Contribution, please contact the CCO or Internal Counsel for assistance. All terms in bold/italics used on this report have the same definitions as they appear in the Pay to Pay Policy included as Appendix B to our Code of Ethics. For more guidance regarding this report specifically, or our Pay to Play Policy generally, please contact our CCO or Internal Counsel. Period Covered by the Report - 20  First Quarter  Second Quarter  Third Quarter  Fourth Quarter  Other Period Covered Activity Except as otherwise described below, during the period covered by this report, I have not, directly or indirectly (including, but not limited to, through a family member or political action committee): a. Made or caused to be made a Political Contribution to any Official of a Government Entity; b. Solicited or coordinated: (i) Political Contributions to any Official of a Government Entity, or (ii) payments to a state or local political party; or c. Compensated any third parties for “soliciting advisory business” from a Government Entity. Describe each Political Contribution, including those de minimis contributions made to candidates for whom you are eligible to vote. Include name, title and city/county/state or other political subdivision of each recipient and the amounts and dates of each Political Contribution: ______________________________ Name Date


 
Appendix B - 6 Initial Political Contribution Report GMC, as a registered investment adviser under the Investment Advisers Act of 1940, is required by law to maintain books and records regarding certain political contributions made by its executives and employees. Please provide information regarding Political Contributions made after March 14, 2011 until now. If you are unsure whether to report a Political Contribution, please contact the CCO or Internal Counsel for assistance. All terms in bold/italics used on this report have the same definitions as they appear in the Pay to Pay Policy included as Appendix B to our Code of Ethics. For more guidance regarding this report specifically, or our Pay to Play Policy generally, please contact our CCO or Internal Counsel. Except as otherwise described below, during the period from March 14, 2011 until the date of this report, I have not, directly or indirectly (including through a family member or political action committee): a. Made a Political Contribution to any Official of a Government Entity; b. Solicited or coordinated: (i) Political Contributions to an Official of a Government Entity, or (ii) payments to a political party of a state or locality; or c. Compensated any third parties for “soliciting advisory business” from Government Entities. Describe any exceptions. Include name, title and city/county/state or other political subdivision of each recipient and the amounts and dates of each contribution or payment: ____________________________ Name Date


 
Appendix B - 7 Political Contribution Pre-Clearance Form Name and Title of Contributor: Recipient Information Name: Title: City/County/State/Other Political Subdivision: Amount of Contribution: Proposed Date of Contribution: Contribution is for:  Primary Election  General Election Is this Contributor able to vote for this Recipient?  Yes  No Has this Contributor made other contributions to this recipient during this election cycle?  Yes  No If yes, describe: Has this Contributor ever had a contribution returned because the Contributor was not eligible to vote for the recipient candidate and it was more than the $150 de minimis allowed?  Yes  No If yes, describe:  Contribution Approved  Contribution Denied ______________________ Name Date